梦幻西游手游幼年孩子技能升级需要花费多少银币呢,每升一级具体的花费是多少呢,计算的公式是怎样的呢,那么下面来看看梦幻西游手游幼年孩子技能升级花费及公式详解!
从幼年到童年,一共养了20天。而幼年时期是最花钱的,大概每天要花200万银币左右,也就是一共需要4000w左右。而且每天活力花费也比较多,每天大概1000活力左右吧。
最终资质如下:
而到了童年,花费相对就少一些了,只是升级需要的经验多一点。然后升级技能需要花钱,别的地方开销就比较小了,活力终于可以拿出来炼药卖FF了,负担还不是很重。
那在童年到底花费多少呢?这里先放出结论如下:
也就是说从0级到120级,学满一个技能的话一共需要6,343,085银币,也就是634万,五个技能一共需要3170万银币,比幼年花费略少,还可以接受。
推断过程如下,画出散点图:
从图中可以看出,这是一个分段函数,60级之前花费太少,而且近似于线性,这里就不推了。60级之后,近似于一个指数函数的形式,我们都知道“指数爆炸”,也就是说指数函数即使初值比较小,到最后值也会比较大,不,是非常大。为了寻找具体关系式,我们可以设函数为:y=a*b^c+d,带入数据之后解出a,b,c,d但是我解出之后发现后面的并不合适。
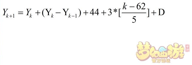
之后,在我的计算之下,也给不出一个具体的公式,只能给出一个递推公式如下:
在这里,k是当前等级,[]为高斯函数即取整函数,当(k-62)/5的余数分别是1.2.3.4的时候,D分别等于1,0,2,1。最开始的时候Y61-Y60=1411.
代入之后,验算完全正确。因为,现在我的孩子当时只有94级,现在99级,后面的完全合适。
以上就是梦幻西游手游幼年孩子技能升级花费及公式详解,希望对大家有所帮助!
如转载涉及版权等问题,请作者与我司联系,我司将在第一时间删除或支付稿酬。
粤公网安备44010602000283号
玩家评论(0条)
全部评论